首页
集团概况
新闻动态
二级企业概况
信息公开
党建之窗
三明实践
联系我们
信息公开
Information disclosure
通 知
招投标
采购询价
人才招聘
通知
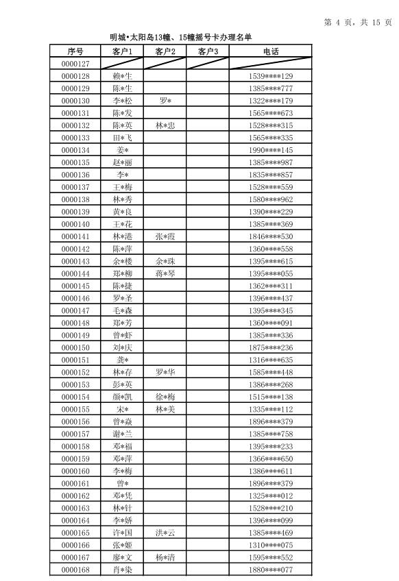
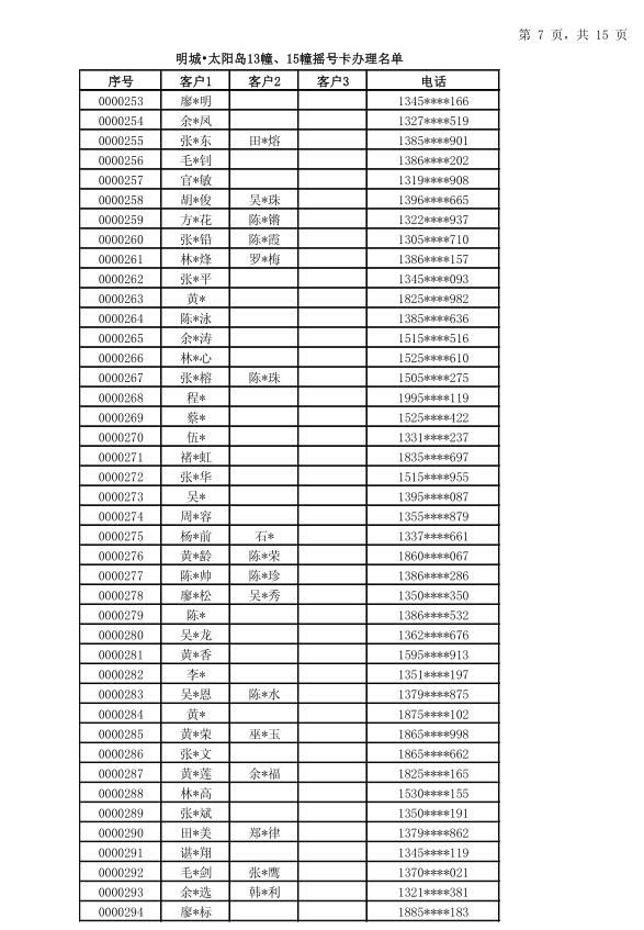
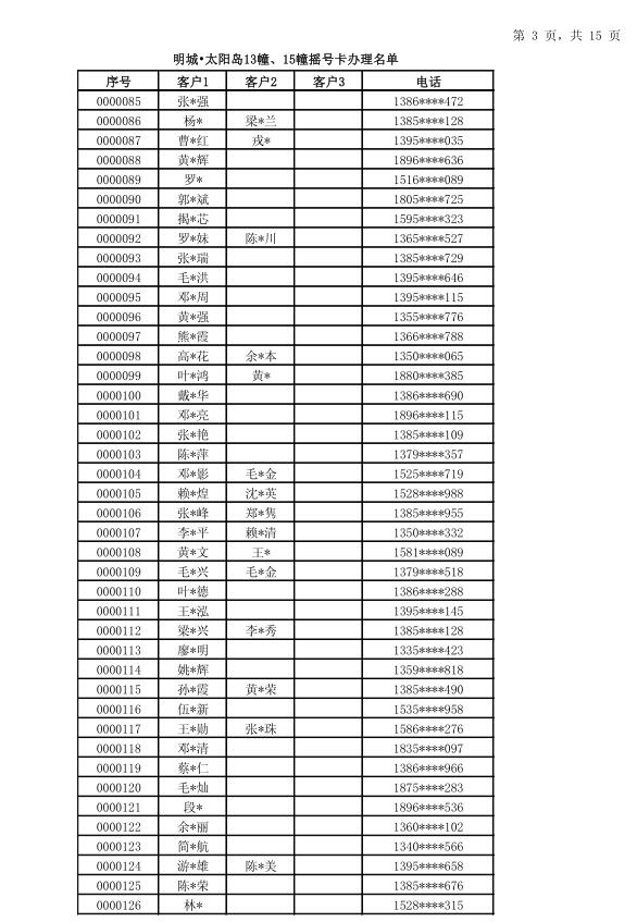
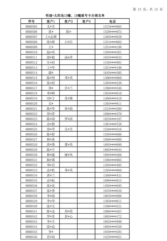
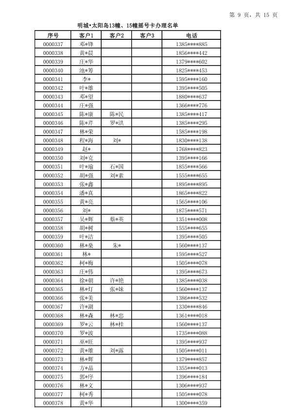
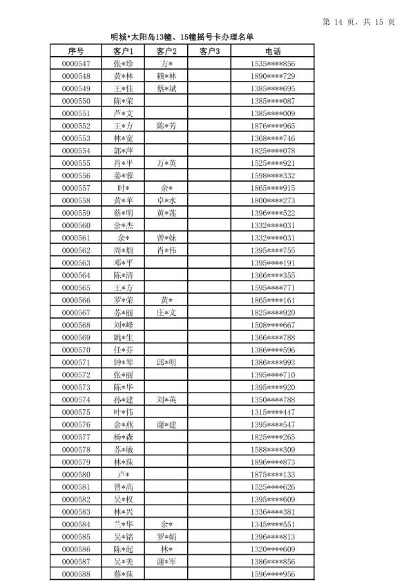
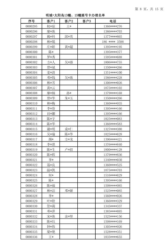
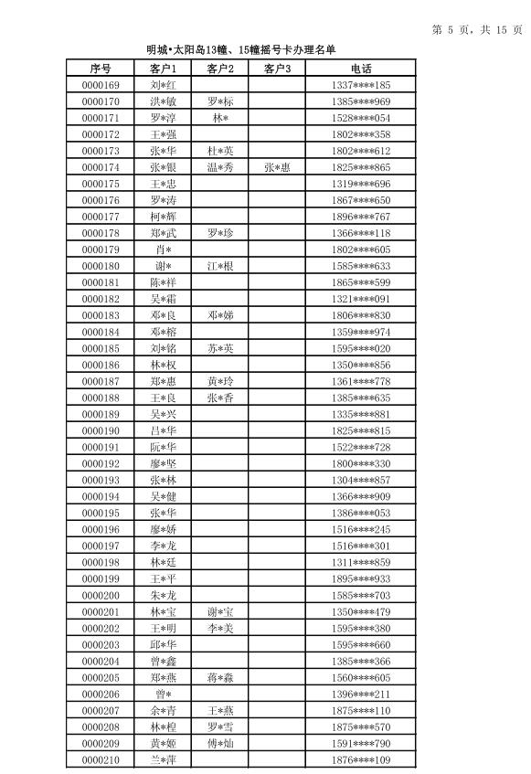
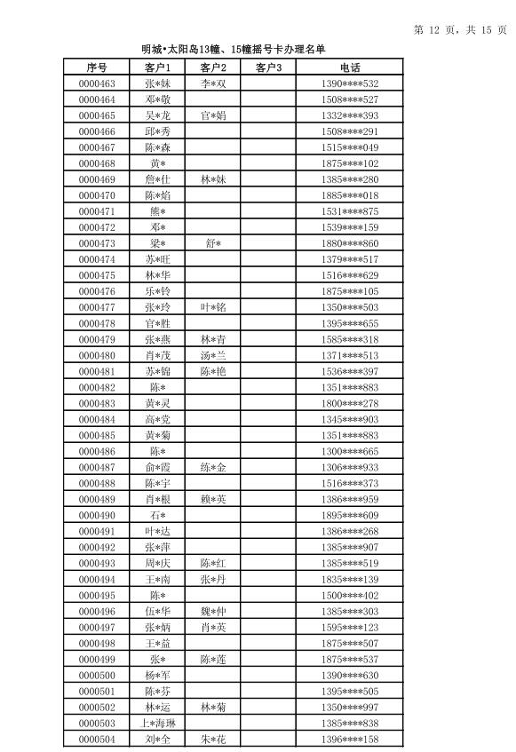
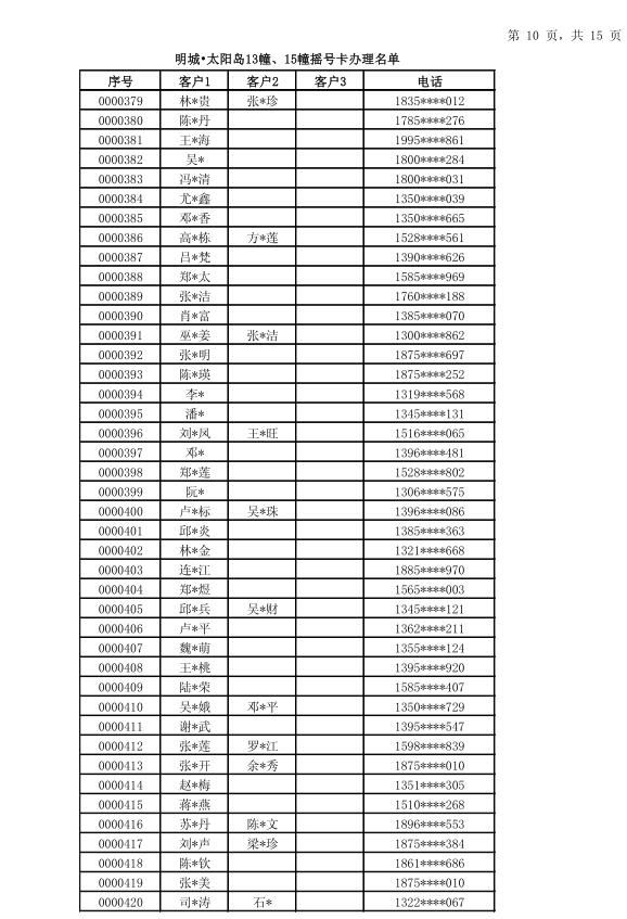
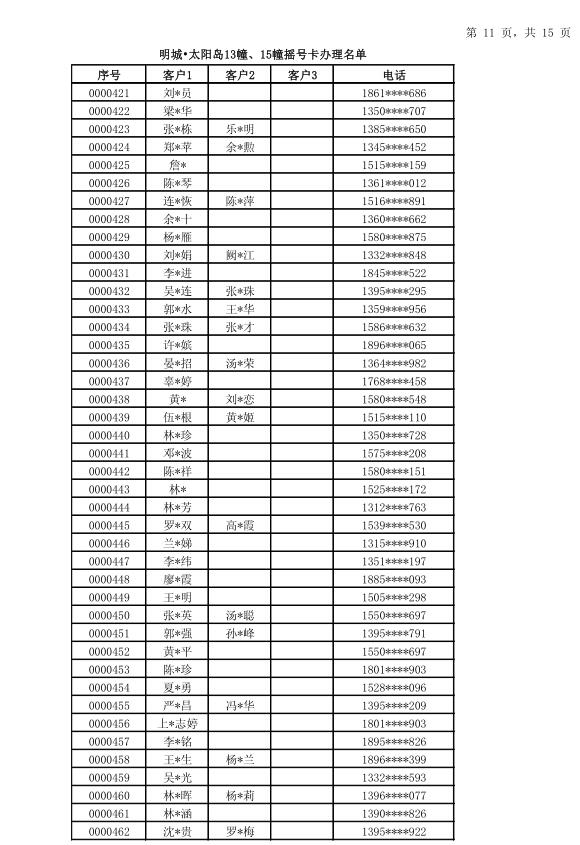
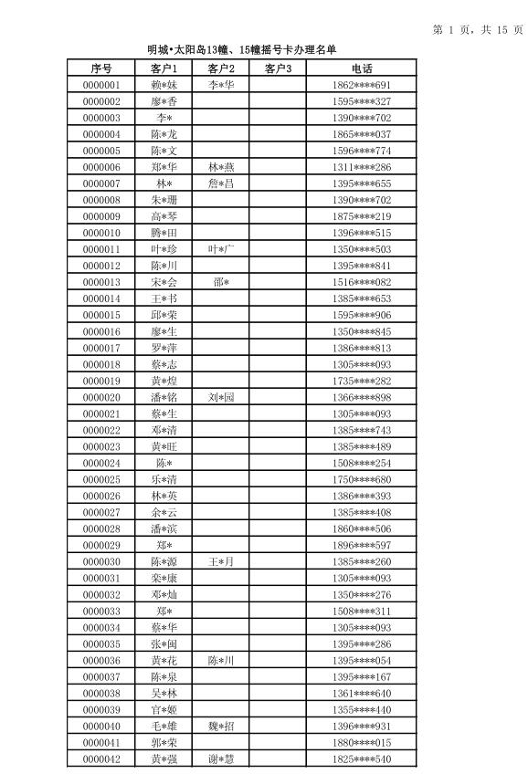
明城·太阳岛13幢15幢开盘“摇号卡办理名单”公示
发布时间:2020-01-13 11:02:00 阅读:10235
上一篇:
明城太阳岛开盘方案
下一篇:
明城·太阳岛13幢15幢开盘摇号卡中签名单公示
亚新网页版中国有限公司
|
江南网页版登录入口
|
亚新彩票官网中国有限公司
|
开云官方在线入口
|
澳门十大电子正规游戏网站(中国)有限公司
|
开云网页版入口中国有限公司
|
江南官方网页版
|
开云·kaiyun(中国)官方网站
|
九州网
|